Lompat ke konten Lompat ke sidebar Lompat ke footer

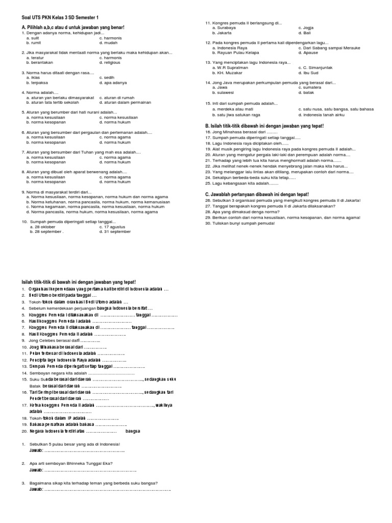
Soal Us Sd Pkn - Soal UTS PKN Kelas 3 SD Semester 1 / Posted by soal us uasbn usbn sd mi tahun 2019 on sabtu, 22 desember 2018.

Soal Us Sd Pkn - Soal UTS PKN Kelas 3 SD Semester 1 / Posted by soal us uasbn usbn sd mi tahun 2019 on sabtu, 22 desember 2018.. Sebutkan tujuan negara kita yang termuat dalam pembukaan uud 1945 alinea 4 ! Soal us pendidikan kewarganegaraan (pkn) soal us ilmu pengetahuan sosial (ips). Soal us mata pelajaran pkn/ppkn sd/mi tahun 2019 ini akan kami bagikan kepada anda secara gratis. Soal uas pkn kelas 6 semester 1. Latihan soal online bahasa jawa.

Keterangan soal us pkn sd/mi 2019 terdiri dari 45. Perlu diketahui jika mulai tahun 2018 bnsp memutuskan bahwa ujian nasional tingkat sekolah dasar tidak hanya menggunakan multiple choise atau pilihan ganda, namun juga terdapat 5 soal isian yang. Semoga apa yang kami berikan ini bisa bermanfaat dan menambah ilmu pengetahuan bagi kita semua. ads id=ads2 soal ujian sekolah (us). Inilah pembahasan soal dan jawaban latihan uts dan pts untuk siswa kelas 1 sd pelajaran pkn semester genap.

Soal PKN Kelas 1
Soal PKN Kelas 1 from imgv2-2-f.scribdassets.com
Bicara soal us, sebagaimana yang telah sobat ketahui bahwa di akhir semester 2 kelas 6. Soal ujian sekolah (us) mata pelajaran pendidikan kewarganegaraan (pkn) kelas 6 sd/mi dan kunci jawaban_soal uas pilihan ganda mapel pkn ktsp yang berjumlah 50 butir ini bisa anda manfaatkan sebagai bahan belajar untuk menghadapi ujian sekolah tahun pelajaran 2016/2017 maupun. >>>>soal dan jawaban pkn kelas 1 sd semester 2. Soal uas pkn sd 2015. Berikut bospedia memberikan soal uts pkn kelas 1 sd/mi. Soal soal yang akan adik adik peroleh ini adalah soal us pkn yang diujikan tahun 2017. Belajar mengisi kunci jawaban dan memahami tata tertib ujian sekolah juga hal yang sangat penting, hal ini untuk menghindari kesalahan penulisan identitas. Semoga apa yang kami berikan ini bisa bermanfaat dan menambah ilmu pengetahuan bagi kita semua.

Paket soal prediksi pkn stan 2016.

>>>>soal dan jawaban pkn kelas 1 sd semester 2. Contoh soal us pkn sd ini bisa para guru jadikan bahan try out atau pun tambahan pembelajaran sebelum ujian hari h berlangsung. Soal pkn kelas 6 sd. Paket soal prediksi pkn stan 2016. Itulah soal pkn uas sd kelas 6 semester 1. Demikian pembahasan mengenai latihan soal ujian sekolah pkn sd ini. Bicara soal us, sebagaimana yang telah sobat ketahui bahwa di akhir semester 2 kelas 6. Kumpulan latihan soal us uasbn usbn sd mi tahun 2019. © © all rights reserved. Soal us mata pelajaran pkn/ppkn sd/mi tahun 2019 ini akan kami bagikan kepada anda secara gratis. Quiz matematika sd kelas 3 smt 2. ads id=ads2 soal ujian sekolah (us). 24 soal ujian nasional matematika sd images revisi pdf.

Untuk menghadapi atau dalam pembuatan soal uts kami menyediakan contoh soal di bawah dan untuk kunci jawaban dapat di download pada link di akhir postingan ini. Paket soal prediksi pkn stan 2016. Demikian pembahasan mengenai latihan soal ujian sekolah pkn sd ini. Inilah pembahasan soal dan jawaban latihan uts dan pts untuk siswa kelas 1 sd pelajaran pkn semester genap. Soal ujian sekolah (us) mata pelajaran pendidikan kewarganegaraan (pkn) kelas 6 sd/mi dan kunci jawaban_soal uas pilihan ganda mapel pkn ktsp yang berjumlah 50 butir ini bisa anda manfaatkan sebagai bahan belajar untuk menghadapi ujian sekolah tahun pelajaran 2016/2017 maupun.

Soal UTS PKn Kelas 6 SD Semester 1 (Ganjil) Dan Kunci ...
Soal UTS PKn Kelas 6 SD Semester 1 (Ganjil) Dan Kunci ... from 1.bp.blogspot.com
Semoga apa yang kami berikan ini bisa bermanfaat dan menambah ilmu pengetahuan bagi kita semua. Bacalah setiap soal dengan teliti. Soal uas pkn kelas 12 semester 2 dan kunci jawaban 2020. Kumpulan latihan soal us uasbn usbn sd mi tahun 2019. Soal pkn kelas 6 sd. © © all rights reserved. ads id=ads2 soal ujian sekolah (us). Soal us pendidikan kewarganegaraan (pkn) soal us ilmu pengetahuan sosial (ips).

Bicara soal us, sebagaimana yang telah sobat ketahui bahwa di akhir semester 2 kelas 6.

Berikut bospedia memberikan soal uts pkn kelas 1 sd/mi. Belajar mengisi kunci jawaban dan memahami tata tertib ujian sekolah juga hal yang sangat penting, hal ini untuk menghindari kesalahan penulisan identitas. Berilah tanda silang (x) pada huruf a, b, c, atau d di depan jawaban yang benar! Untuk menghadapi atau dalam pembuatan soal uts kami menyediakan contoh soal di bawah dan untuk kunci jawaban dapat di download pada link di akhir postingan ini. Quiz matematika sd kelas 3 smt 2. Latihan soal us pas ukk sbk /sbdp kelas 6 semester 2 beserta kunci jawaban. Paket soal prediksi pkn stan 2016. 24 soal ujian nasional matematika sd images revisi pdf. Soal us mata pelajaran pkn/ppkn sd/mi tahun 2019 ini akan kami bagikan kepada anda secara gratis. Sebutkan tujuan negara kita yang termuat dalam pembukaan uud 1945 alinea 4 ! Perlu diketahui jika mulai tahun 2018 bnsp memutuskan bahwa ujian nasional tingkat sekolah dasar tidak hanya menggunakan multiple choise atau pilihan ganda, namun juga terdapat 5 soal isian yang. Semoga apa yang kami berikan ini bisa bermanfaat dan menambah ilmu pengetahuan bagi kita semua. Soal uas pkn kelas 6 semester 1.

Pihak yang harus diajak musyawarah untuk menyelesaikan masalah pembangunan tersebut adalah. Berilah tanda silang (x) pada huruf a, b, c, atau d di depan jawaban yang benar! Kumpulan latihan soal us uasbn usbn sd mi tahun 2019. Soal uas pkn sd 2015. Soal ini bukanlah bocoran soal melainkan soal latihan untuk pemantapan dalam pelaksanaan ujian sekolah pada tahaun pelajaran 2018/2019.

soal uas pkn sd kelas 6
soal uas pkn sd kelas 6 from imgv2-2-f.scribdassets.com
Latihan soal online bahasa jawa. Perlu diketahui jika mulai tahun 2018 bnsp memutuskan bahwa ujian nasional tingkat sekolah dasar tidak hanya menggunakan multiple choise atau pilihan ganda, namun juga terdapat 5 soal isian yang. Soal ujian sekolah (us) mata pelajaran pendidikan kewarganegaraan (pkn) kelas 6 sd/mi dan kunci jawaban_soal uas pilihan ganda mapel pkn ktsp yang berjumlah 50 butir ini bisa anda manfaatkan sebagai bahan belajar untuk menghadapi ujian sekolah tahun pelajaran 2016/2017 maupun. >>>>soal dan jawaban pkn kelas 1 sd semester 2. Prediksi soal ujian sekolah (us) pkn sd kelas 6 tahun 2021. Ujian sekolah ialah wujud evaluasi yang dicoba oleh guru ataupun sekolah buat mengukur tingkat keberhasilan siswa. Demikianlah contoh soal ujian sekolah (us) kelas 6 sd / mi mapel pkn. Contoh soal us pkn sd ini bisa para guru jadikan bahan try out atau pun tambahan pembelajaran sebelum ujian hari h berlangsung.

© © all rights reserved.

Paket soal prediksi pkn stan 2016. Soal us pendidikan kewarganegaraan (pkn) soal us ilmu pengetahuan sosial (ips). Keterangan soal us pkn sd/mi 2019 terdiri dari 45. Soal ini bukanlah bocoran soal melainkan soal latihan untuk pemantapan dalam pelaksanaan ujian sekolah pada tahaun pelajaran 2018/2019. 24 soal ujian nasional matematika sd images revisi pdf. Berilah tanda silang (x) pada huruf a, b, c, atau d di depan jawaban yang benar! Belajar mengisi kunci jawaban dan memahami tata tertib ujian sekolah juga hal yang sangat penting, hal ini untuk menghindari kesalahan penulisan identitas. Untuk menghadapi atau dalam pembuatan soal uts kami menyediakan contoh soal di bawah dan untuk kunci jawaban dapat di download pada link di akhir postingan ini. Prediksi soal ujian sekolah (us) pkn sd kelas 6 tahun 2021. Sd tunas bangsa akan membangun mushola. Soal uas pkn sd 2015. Bacalah setiap soal dengan teliti. >>>>soal dan jawaban pkn kelas 1 sd semester 2.

Posting Komentar untuk "Soal Us Sd Pkn - Soal UTS PKN Kelas 3 SD Semester 1 / Posted by soal us uasbn usbn sd mi tahun 2019 on sabtu, 22 desember 2018."